好消息!2024年科技型中小企业评价已开启!
4月12日,天津市科技局发布《关于做好我市2024年度科技型中小企业评价工作的通知》。通知显示,2024年度科技型中小企业评价工作自4月12日启动,常年受理(截止时间待定),分批公示、公告,请符合入库条件的科技型中小企业按照通知要求,登录科技型中小企业服务平台(https://fuwu.most.gov.cn)提交评价信息。

当前,科学技术部政务服务平台显示,科技型中小企业评价办理入口已开启,认为符合条件的中小企业,可自愿在服务平台(https://fuwu.most.gov.cn/)在线申报。



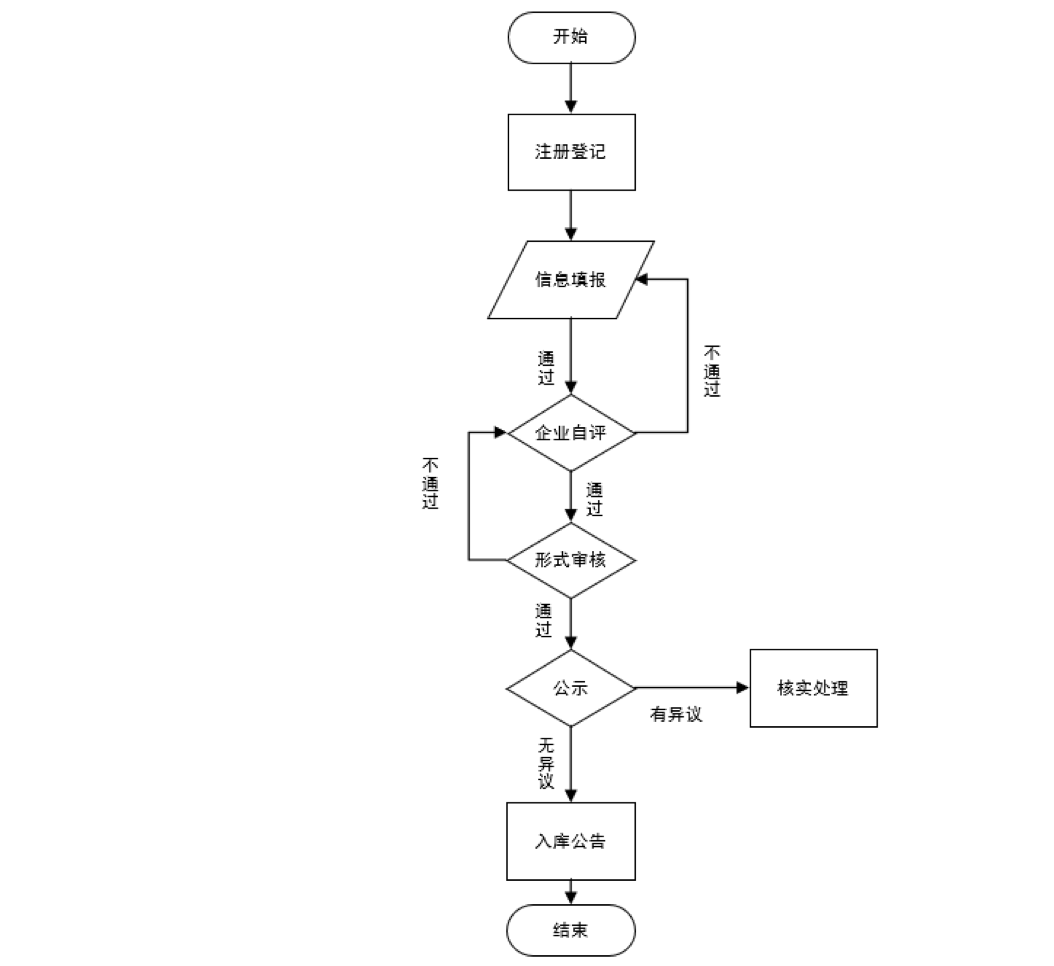
入库评价路径
符合条件的中小微企业访问科学技术部政务服务平台(https://fuwu.most.gov.cn),注册登记。注册成功企业点击服务平台“科技型中小企业评价”事项“办理入口”按钮,按要求在线填报《科技型中小企业信息表》,自主进行科技型中小企业评价。

科技型中小企业须同时满足以下条件:
(一)在中国境内(不包括港、澳、台地区)注册的居民企业。
(二)职工总数不超过500人、年销售收入不超过2亿元、资产总额不超过2亿元。
(三)企业提供的产品和服务不属于国家规定的禁止、限制和淘汰类。
(四)企业在填报上一年及当年内未发生重大安全、重大质量事故和严重环境违法、科研严重失信行为,且企业未列入经营异常名录和严重违法失信企业名单。
(五)企业根据科技型中小企业评价指标进行综合评价所得分值不低于60分,且科技人员指标得分不得为0分。
(六)符合第(一)~(四)项条件的企业,若同时符合下列条件中的一项,则可直接确认符合科技型中小企业条件:
1.企业拥有有效期内高新技术企业资格证书;
2.企业近五年内获得过国家级科技奖励;
3.企业拥有经认定的省部级以上研发机构;
4.企业近五年内主导制定过国际标准、国家标准或行业标准。
评价指标:
科技型中小企业评价指标具体包括科技人员、研发投入、科技成果三类,满分100分。
1.科技人员指标(满分20分)。按科技人员数占企业职工总数的比例分档评价。
A.30%(含)以上(20分)
B.25%(含)-30%(16分)
C.20%(含)-25%(12分)
D.15%(含)-20%(8分)
E.10%(含)-15%(4分)
F.10%以下(0分)
2.研发投入指标(满分50分)。企业从(1)、(2)两项指标中选择一个指标进行评分。
(1)按企业研发费用总额占销售收入的比例分档评价。
A.6%(含)以上(50分)
B.5%(含)-6%(40分)
C.4%(含)-5%(30分)
D.3%(含)-4%(20分)
E.2%(含)-3%(10分)
F.2%以下(0分)
(2)按企业研发费用总额占成本费用支出总额的比例分档评价。
A.30%(含)以上(50分)
B.25%(含)-30%(40分)
C.20%(含)-25%(30分)
D.15%(含)-20%(20分)
E.10%(含)-15%(10分)
F.10%以下(0分)
3.科技成果指标(满分30分)。按企业拥有的在有效期内的与主要产品(或服务)相关的知识产权类别和数量(知识产权应没有争议或纠纷)分档评价。A.1项及以上Ⅰ类知识产权(30分)
B.4项及以上Ⅱ类知识产权(24分)
C.3项Ⅱ类知识产权(18分)
D.2项Ⅱ类知识产权(12分)
E.1项Ⅱ类知识产权(6分)
F.没有知识产权(0分)
温馨提示:企业入库申报相关内容,具体以当地通知为准。